Membrane Adsorber (MA) Elution

General Description

This operation simulates a membrane elution (product recovery) step in load-and-elute chromatography. The main objectives of this operation are to determine bufffer consumption, account for the release of retained mass from the membrane, and account for collection and waste streams leaving the MA.

Unit Procedure Availability

      Membrane Adsorption Procedure in Bind-and-Elute Mode

MA Elution: Modeling Calculations

Total Eluant Volume

In terms of total eluant volume (per batch cycle and equipment unit), you can either set an absolute volume or a relative volume (in membrane volumes). The buffer’s absolute volume is equal to its relative volume times the membrane’s volume. This relation is used to determine the absolute volume based on a relative volume, and vice versa.

Total Eluant Flowrate

In terms of total eluant flowrate, you can specify any one of the following three variables: linear velocity, absolute flowrate, or relative flowrate. The other two variables will be calculated by the program according to the following equations:

ColumnFeedFlowAbs00770.jpg 

eq. (A.171)

ColumnFeedFlowRel00773.jpg 

eq. (A.172)

where ‘Bed Volume’ denotes the membrane’s volume in the context of this operation.

Process Time

The process time is calculated from the absolute values of total eluant volume and flowrate as follows:

ColumnFeedProcessTime00776.jpg 

eq. (A.174)

where ‘Feed Volume’ denotes total eluant volume in the context of this operation.

Elution Strategy

For isocratic elution, a single buffer (eluant A) is used, having a volume equal to the total eluant volume.

For gradient elution, the gradient buffer is generated by mixing two different buffers in continuously varying ratios. In that case, you need to identify the two buffer (eluant) streams (A and B) and specify either the initial and final concentrations of a “key component” in the gradient buffer, or the initial and final volumes of buffer “A” in the gradient buffer. Based on these, the program will calculate the volumes of the two buffers.

When the gradient elution is based on key component data, the concentration of the key component is assumed to vary linearly with buffer volume, as shown in the figure below:

GraphColumnElution00779.JPG

In the above figure, Co and Cf are the respective initial and final concentrations of the key component (in mol/L) and VT is the gradient elution buffer. To estimate the volumes of buffers A and B that are mixed to form the gradient elution buffer, we do the following simple material balances:

The total number of moles, N, of the key component contained in the gradient buffer of volume VT is given by:

ColumnElutionGradientBufferKeyCompMoles00780.jpg 

eq. (A.182)

where VA, VB are the volumes of buffers A and B, respectively, required to form the gradient buffer of volume VT. CA and CB are the concentrations of the key component in buffers A and B, respectively. Also VT

ColumnElutionGradientBufferTotalVolume00783.jpg 

eq. (A.183)

is equal to:

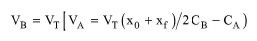
The above equations are solved for VA and VB and the answer for VB is given below:

AppendixA00786.jpg 

eq. (A.184)

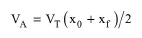
Similarly, when the gradient elution is based on the initial (xo) and final (xf) volume fractions of buffer A in the gradient buffer, the volume fraction of buffer A in the gradient buffer is assumed to vary linearly with the gradient buffer’s volume. Then, the volume of buffer A in the gradient buffer is given by:

ColumnElutionGradientBufferBasedOnEluantAVolumeA00789.jpg 

eq. (A.185)

The calculated buffer volumes are used to adjust the flowrates of the corresponding streams. If the streams have source unit procedures (e.g., buffer preparation tanks), the flowrate adjustment is recursively back-propagated till process feed streams are reached. At least one of the process feed streams that feed into elution or regeneration-equilibration-wash streams must have non-zero flowrate.

Material Balances

The ‘Eluant Volume in Collection Stream’ factor (in membrane volumes) determines the fraction of an elution buffer that ends up in the collection stream. The remaining exits in the waste stream. For each component, a percentage of the corresponding retained amount in the membrane equal to the specified release % for that component is also removed from the membrane and added to the collection stream.

MA Elution: Interface

The interface of this operation has the following tabs:

      Oper. Cond’s, see MA Elution: Oper. Conds Tab

      Elution Strategy, see MA Elution: Elution Strategy Tab

      Labor, etc, see Operations Dialog: Labor etc. Tab

      Description, see Operations Dialog: Description Tab

      Batch Sheet, see Operations Dialog: Batch Sheet Tab

      Scheduling, see Operations Dialog: Scheduling Tab