Granular Activated Carbon (GAC) Column Loading

General Description

Adsorption of a substance involves its accumulation at the interface between two phases, such as a liquid and a solid (Snoeying, 1990). The molecule that accumulates, or adsorbs, at the interface is called an adsorbate, and the solid on which adsorption occurs is the adsorbent. Adsorption plays an important role in the purification of water. Activated carbon, for example, can be used to adsorb organic molecules that cause taste and odor, color, mutagenicity, and toxicity.

The main objective of this model is to estimate the time for loading (reaching breakthrough) an activated carbon column (if not specified by the user) and estimate the number and size of columns required (when the equipment is in Design Mode).

Unit Procedure Availability

      Granular Activated Carbon (GAC) Adsorption Procedure (for Liquid Streams)

GAC Column Loading: Modeling Calculations

Material Balances

The specified binding fraction for each component of the feed stream is used to determine the total fraction of adsorbate compounds to the bed. The remaining fraction of feed stream components that do not bind to the bed exit through the outlet stream.

Column Size Estimation

In Design Mode, the following equations are used for the calculation of total bed volume required by the operation:

GACLoadingBedVolume.jpg 

eq. (A.188)

where:

      FD is the equipment’s overdesign factor,

      VF is the total feed volume per procedure cycle,

      tp is breakthrough (process) time,

      EBCT is the empty-bed contact time,

      Ns is the service volume (expressed as number of bed volumes),

      ma is the total mass of adsorbate compounds per procedure cycle,

      Wb is the binding capacity of the adsorbent (expressed as adsorbate mass per mass of adsorbent), and

      ρb is the bulk density of the adsorbent.

The value of EBCT is usually in the range of 3 to 10 min (Snoeying, 1990).

The total bed volume is calculated from the above equations depending on the specified option for the breakthrough time. The following specification options are available:

      Set by User,

      Calculated Based on Binding Capacity, or

      Calculated Based on Service Volume.

If the breakthrough time is Set by User, the total bed volume can be calculated based either on the binding capacity or on the empty bed contact time. If the bed sizing is Based on Binding Capacity, the total bed volume is estimated from the specified binding capacity and bed bulk density. If the bed sizing is Based on Empty Bed Contact time, then the total bed volume is calculated based on the speicified breakthrough time and empty bed contact time.

If the breakthrough time is Calculated Based on Binding Capacity, then the breakthrough time is calculated based on the specified binding capacity and empty bed contact time, and the total bed volume is calculated based on the specified empty bed contact time.

If the breakthrough time is Calculated Based on Service Volume, then the total bed volume is calculated based on the specified service volume and empty bed contact time, and the total bed volume is calculated based on the specified empty bed contact time.

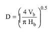
Dividing the bed volume by the ‘Bed to Column Height’ ratio yields the column volume. When the bed height, Hb, is specified, its diameter, D, is calculated using the following equation:

BedDiameter00827.jpg 

eq. (A.177)

If D > Dmax, then multiple columns are assumed in parallel. Alternatively, the user may specify the ‘Bed Height to Diameter’ ratio and have the model calculate the bed and column dimensions.

Feed Volume and Binding Mass per Cycle

If the Plant Operation Mode is Batch, VF is calculated by dividing the corresponding feed volume per batch of the feed stream by the procedure’s Number of Cycles per Batch. Similarly, ma is calculated by summing-up the product of mass per batch and binding percentage for all components of the feed stream for which the ‘Ignore in Sizing?’ check-box is not checked, and dividing the sum by the Number of Cycles per Batch.

If the Plant Operation Mode is Continuous, VF is calculated by multiplying the volumetric flow rate of the feed stream with the procedure’s Holdup Time. Similarly, ma is calculated by summing-up the product of mass flow rate and binding percentage for all components of the feed stream for which the ‘Ignore in Sizing?’ check-box is not checked, and multiplying the sum with the procedure’s Holdup Time. Note that the specified holdup time must be greater than or equal to the procedure’s Cycle Time divided by 1 + M, where M is the number of extra sets of equipment units in stagger mode; for more details on the use of holdup time, see Holdup Time; for more details on the use of stagger mode, see Staggered Mode.

Binding Capacity

The binding capacity of the adsorbent refers to all the compounds that bind to the bed and whose ‘Ignore in Sizing?’ check-box is not selected. In Design Mode, as well as in Rating Mode, the program will check that the specified binding capacity is adequate for retaining the specified binding fractions of all feed stream components that are not ‘ignored in sizing’.

Breakthrough Time

The following equation may be derived from eq. (A.186) for the calculation of breakthrough time with respect to empty-bed contact time and service volume:

BedLoadingTime00830.jpg 

eq. (A.187)

If the breakthrough time is Set by User, then, if the equipment sizing option is in Design Mode, the above equation is used to calculate the service volume from the specified breakthrough time and empty-bed contact time. If the equipment sizing option is in Rating Mode, the service volume is calculated from eq. (A.186) and the above equation is used to calculate the empty-bed contact time from the service volume and the specified breakthrough time.

If the breakthrough time is Calculated Based on Binding Capacity, the service volume is calculated from eq. (A.186) and the above equation is used to calculate the breakthrough time from the service volume and the specified empty-bed contact time.

If the breakthrough time is Calculated Based on Service Volume, the above equation is used to calculate the breakthrough time from the specified service volume and empty-bed contact time.

Note that in Rating Mode, FD is equal to one in eq. (A.186).

Adsorbent Cost Estimation

The cost associated with adsorbent replacement is estimated based on the ‘Adsorbent Replacement Frequency’ and the ‘Adsorbent Unit Cost’ that the user specifies. The unit cost can be specified per unit mass of adsorbent or per canister.

References

1.   Snoeying, V.L. (1990). Adsorption of Organic Compounds. in “Water Quality and Treatment”, American Water Works Association, 4th Edition, McGraw-Hill, Inc., Edited by: F. W. Pontius.

2.   Kemmer, F.N. (1988). The NALCO Water Handbook, 2nd Edition, McGraw-Hill Book Company.

GAC Column Loading: Interface

The interface of this operation has the following tabs:

      Oper. Cond’s, see GAC Column Loading: Oper. Conds Tab

      Labor, etc, see Operations Dialog: Labor etc. Tab

      Description, see Operations Dialog: Description Tab

      Batch Sheet, see Operations Dialog: Batch Sheet Tab

      Scheduling, see Operations Dialog: Scheduling Tab